A 26 Kg Dog Is Running Northward At 27 Ms While A 53 Kg Cat Is Running Eastward At 30 Ms
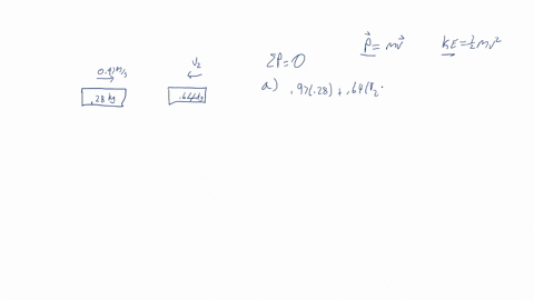
Momentum of dog m v 26 x 27 702 kg ms northward.

A 26 kg dog is running northward at 27 ms while a 53 kg cat is running eastward at 30 ms. Find the direction and magnitude of the owners velocity. Their 702 kg owner has the same momentum as the two pets taken together. 42 minutes ago the curies took pure uranium and a uranium containing substance. A 285 kg dog is running northward at 297 ms while a 783 kg cat is running eastward at 397 ms.
A 262 kg dog is running northward at 270 ms while a 530 kg cat is running eastward at 304 ms. I dont know how to put the problem together. Their 740 kg owner has the same momentum as the two pets taken together. A 193 kg dog is running northward at 298 ms while a 626 kg cat is running eastward at 364 ms.
Find the direction and magnitude of the owners velocity. 37 minutes ago a 26 kg dog is running northward at 27 ms while a 53 kg cat is running eastward at 30 ms. 33 ms during an intense game of croquet a 052 kg ball at rest on the grass is struck by a mallet with an average force of 250n. When they measure the amount of radioactivity there was more in the uranium contain.
Find the direction and magnitude of the owners velocity. You may want to review. Momentum of cat m v 53 x 30 159 kg ms east ward. Their 784 kg owner has the same momentum as the two pets taken together.
Their 787 kg owner has the same momentum as the two pets taken together. 0 north of east. A 275 kg dog is running northward at 268 ms while a 749 kg cat is running eastward at 359 ms. Find the direction and magnitude of the owners velocity.
A 26 kg dog is running northward at 27 ms while a 53 kg cat is running eastward at 30 ms. Find the magnitude of the total momentum for this system. Their 754kg owner has the same momentum as the two pets taken together. Now to know about the direction we have to use tan at 159702.
Find the direction and magnitude of the owners velocity. A 290kg dog is running northward at 215ms while a 725kg cat is running eastward at 357ms. Their 740 kg owner has the same momentum as the two pets taken together. Find the direction and magnitude of the owners velocity.
Their 759 kg owner has the same momentum as the two pets taken together.


































